其他资讯 >> 权威!2021年上海高考一分一段表已经公布
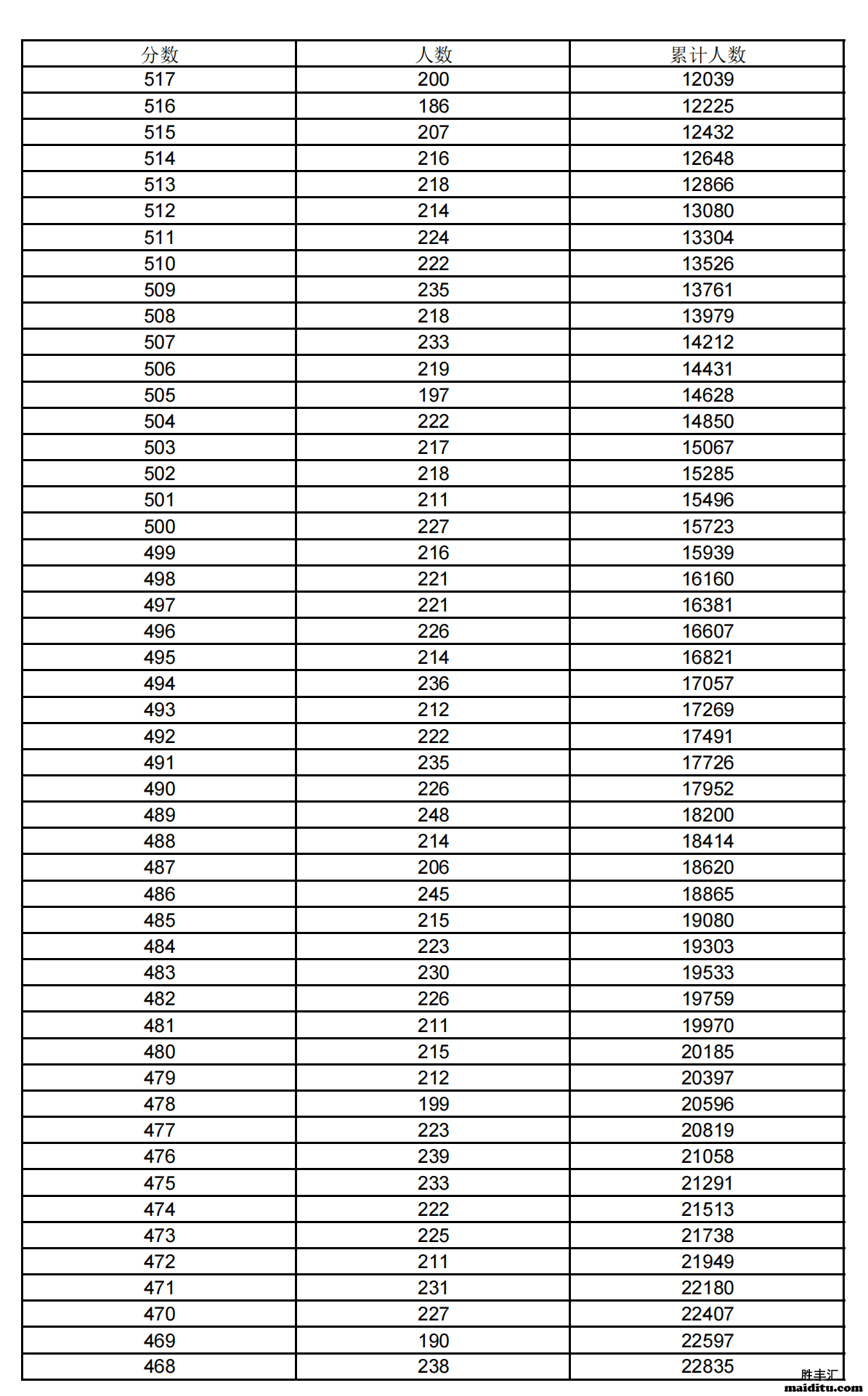
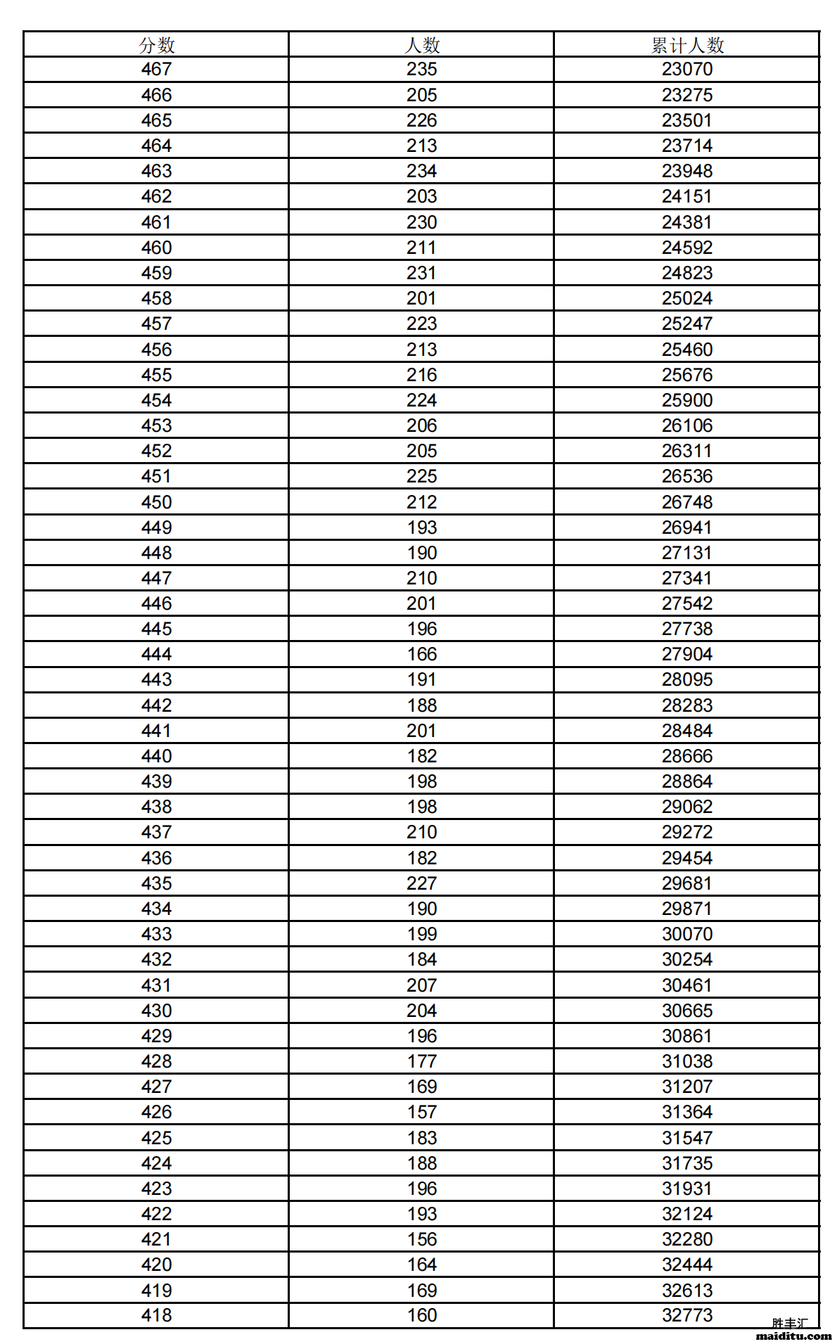
最后编辑时间:2021年06月24日 16:41:01【内容简介】2021年上海高考一分一段表于2021.6.23已经公布。
2021年上海高考网上成绩查询
2021年6月23日(星期三)18:00至7月1日(星期四)12:00,考生可登录上海市教育考试院“上海招考热线”网站(www.shmeea.edu.cn)“成绩查询”栏目、“一网通办”pc端(zwdt.sh.gov.cn)、“随申办”,输入本人9位高考准考证号和密码(考生本人身份证最后不含字母的六位数字)查询统一文化考试成绩。
网上可查询到的科目成绩为语文、数学、外语(6月份)以及附加分。
2021年上海高考本科成绩满分为660分。
2021年上海高考本科成绩满分为660分。
2021年上海高考本科录取控制分数线:400分
2021年上海高考特殊类型招生控制分数线:503分
2021年上海高考艺术类本科文化控制分数线:300分
2021年上海高考体育类本科文化控制分数线:280分







分享到: 豆瓣 新浪微博 百度贴吧 QQ空间 QQ好友
复制链接分享给好友或者自己收藏!这里会及时更新中。。。
相关推荐:

